Официальное опубликование правовых актов
ОФИЦИАЛЬНОЕ ОПУБЛИКОВАНИЕ
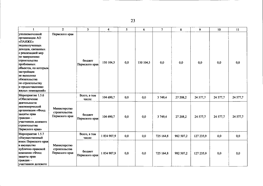
Постановление Правительства Пермского края от 29.04.2021 № 250-п
"О внесении изменений в государственную программу Пермского края "Градостроительная и жилищная политика, создание условий для комфортной городской среды", утвержденную постановлением Правительства Пермского края от 03 октября 2013 г. № 1331-п"
Номер опубликования: 5900202104300020
Дата опубликования: 30.04.2021
Страница №25 из 68:
Увеличить