Официальное опубликование правовых актов
ОФИЦИАЛЬНОЕ ОПУБЛИКОВАНИЕ
Постановление Правительства Пермского края от 14.04.2021 № 233-п
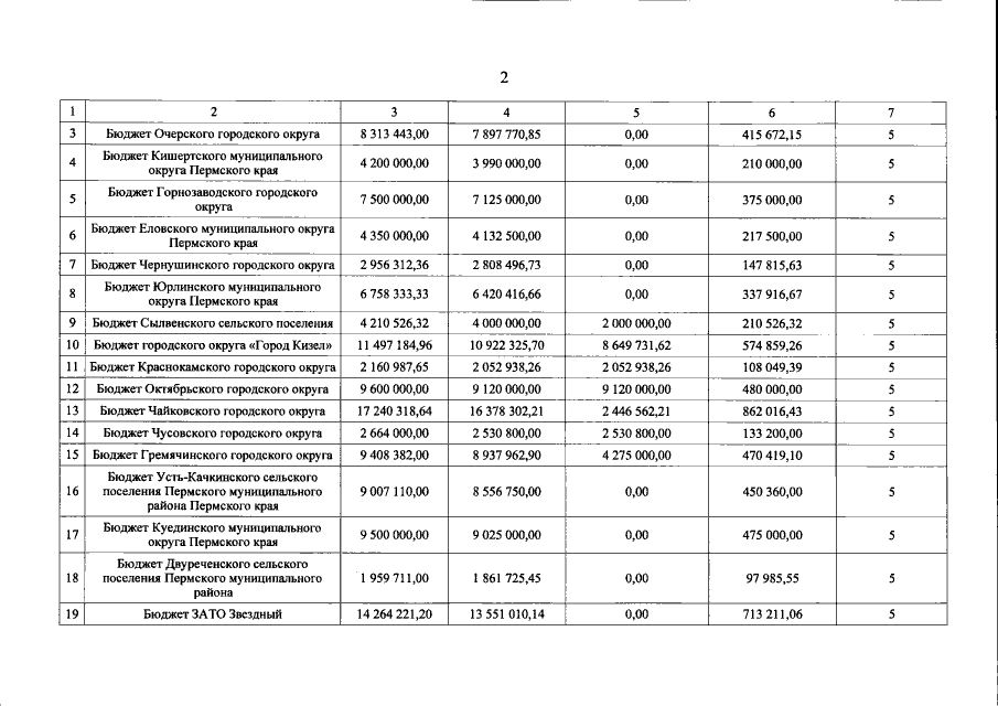
"О внесении изменения в распределение субсидии на софинансирование мероприятий муниципальных программ муниципальных образований по обеспечению технического развития систем теплоснабжения, находящихся в муниципальной собственности, включающих разработку (корректировку) проектной документации, строительство, реконструкцию (в том числе техническое перевооружение), капитальный ремонт объектов систем теплоснабжения муниципальных образований, находящихся в муниципальной собственности, на 2021 год, утвержденное постановлением Правительства Пермского края от 16 декабря 2019 г. № 929-п "Об утверждении распределения субсидий из бюджета Пермского края бюджетам муниципальных образований Пермского края на софинансирование мероприятий по качественному функционированию систем теплоснабжения на территориях муниципальных образований Пермского края"
Номер опубликования: 5900202104150010
Дата опубликования: 15.04.2021
Страница №4 из 5:
Увеличить