Официальное опубликование правовых актов
ОФИЦИАЛЬНОЕ ОПУБЛИКОВАНИЕ
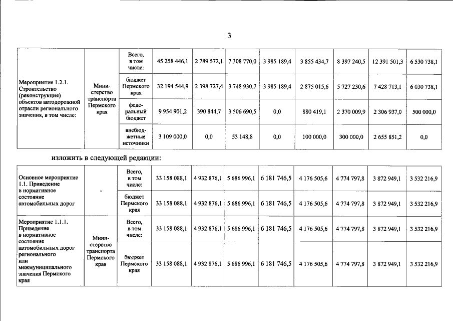
Постановление Правительства Пермского края от 03.03.2021 № 127-п
"Об утверждении перечня мероприятий, направленных на достижение результатов регионального проекта "Региональная и местная дорожная сеть" Пермского края в рамках национального проекта "Безопасные и качественные автомобильные дороги", и о внесении изменений в отдельные постановления Правительства Пермского края в сфере дорожной деятельности"
Номер опубликования: 5900202103050012
Дата опубликования: 05.03.2021
Страница №11 из 15:
Увеличить