Официальное опубликование правовых актов
ОФИЦИАЛЬНОЕ ОПУБЛИКОВАНИЕ
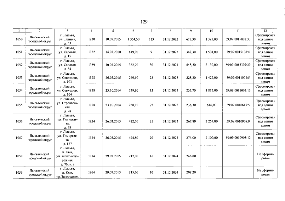
Постановление Правительства Пермского края от 27.01.2021 № 29-п
"О внесении изменений в региональную адресную программу по переселению граждан из аварийного жилищного фонда на территории Пермского края на 2019 – 2025 годы, утвержденную постановлением Правительства Пермского края от 29 марта 2019 г. № 227-п"
Номер опубликования: 5900202101280018
Дата опубликования: 28.01.2021
Страница №130 из 232:
Увеличить