Официальное опубликование правовых актов
ОФИЦИАЛЬНОЕ ОПУБЛИКОВАНИЕ
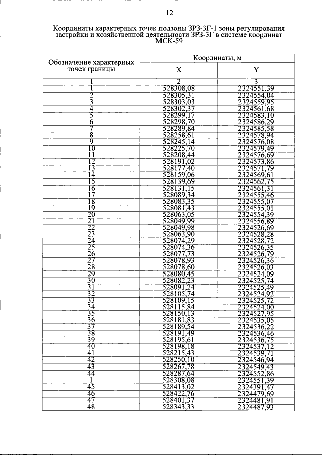
Постановление Правительства Пермского края от 27.01.2021 № 45-п
"Об утверждении границ зон охраны объектов культурного наследия регионального значения, расположенных на территории Лысьвенского городского округа, а также режимов использования земель и требований к градостроительным регламентам в границах данных зон"
Номер опубликования: 5900202101280001
Дата опубликования: 28.01.2021
Страница №14 из 50:
Увеличить