Официальное опубликование правовых актов
ОФИЦИАЛЬНОЕ ОПУБЛИКОВАНИЕ
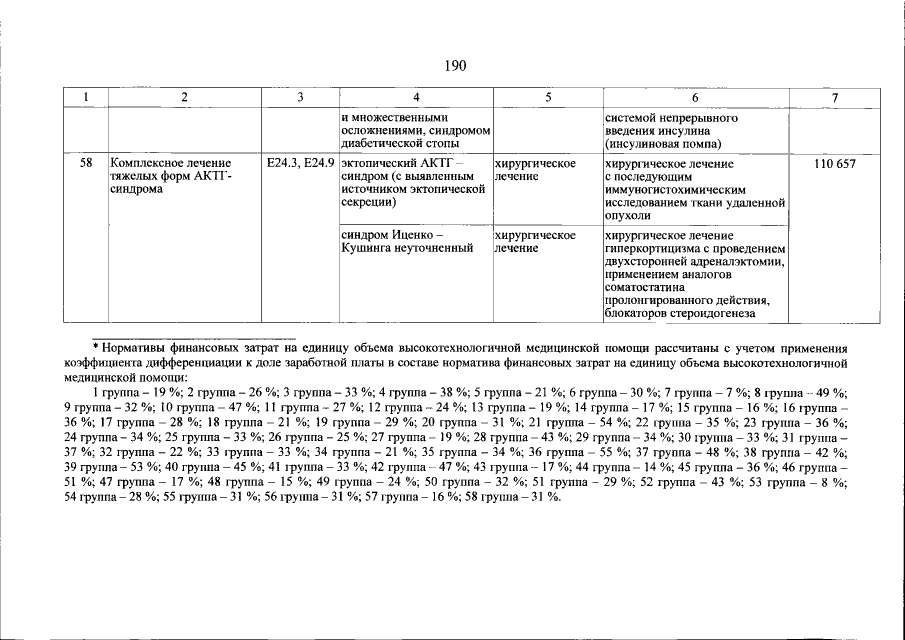
Постановление Правительства Пермского края от 20.01.2021 № 10-п
"Об утверждении Территориальной программы государственных гарантий бесплатного оказания гражданам медицинской помощи на 2021 год и на плановый период 2022 и 2023 годов"
Номер опубликования: 5900202101260001
Дата опубликования: 26.01.2021
Страница №192 из 797:
Увеличить