Официальное опубликование правовых актов
ОФИЦИАЛЬНОЕ ОПУБЛИКОВАНИЕ
Постановление Правительства Пермского края от 23.12.2020 № 998-п
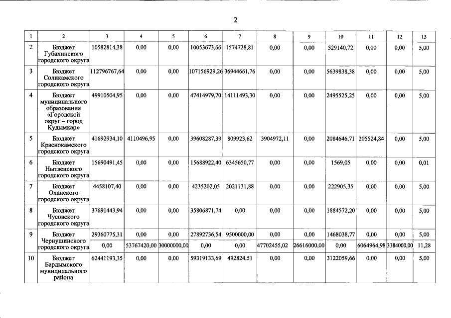
"О внесении изменений в постановление Правительства Пермского края от 24 апреля 2019 г. № 295-п "Об утверждении распределения субсидий из бюджета Пермского края бюджетам муниципальных образований Пермского края на проведение проектных работ и строительство распределительных газопроводов на территории муниципальных образований Пермского края на 2019 – 2021 годы"
Номер опубликования: 5900202012250018
Дата опубликования: 25.12.2020
Страница №4 из 8:
Увеличить