Официальное опубликование правовых актов
ОФИЦИАЛЬНОЕ ОПУБЛИКОВАНИЕ
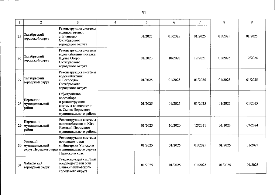
Постановление Правительства Пермского края от 11.12.2020 № 942-п
"О внесении изменений в постановление Правительства Пермского края от 30 сентября 2019 г. № 696-п "Об утверждении региональной программы Пермского края по повышению качества водоснабжения на период с 2019 по 2024 год"
Номер опубликования: 5900202012150031
Дата опубликования: 15.12.2020
Страница №52 из 53:
Увеличить