Официальное опубликование правовых актов
ОФИЦИАЛЬНОЕ ОПУБЛИКОВАНИЕ
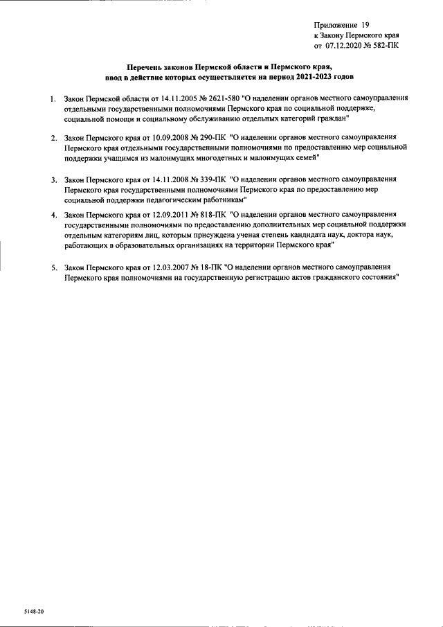
Закон Пермского края от 07.12.2020 № 582-ПК
"О бюджете Пермского края на 2021 год и на плановый период 2022 и 2023 годов"
Номер опубликования: 5900202012090003
Дата опубликования: 09.12.2020
Страница №357 из 357:
Увеличить