Официальное опубликование правовых актов
ОФИЦИАЛЬНОЕ ОПУБЛИКОВАНИЕ
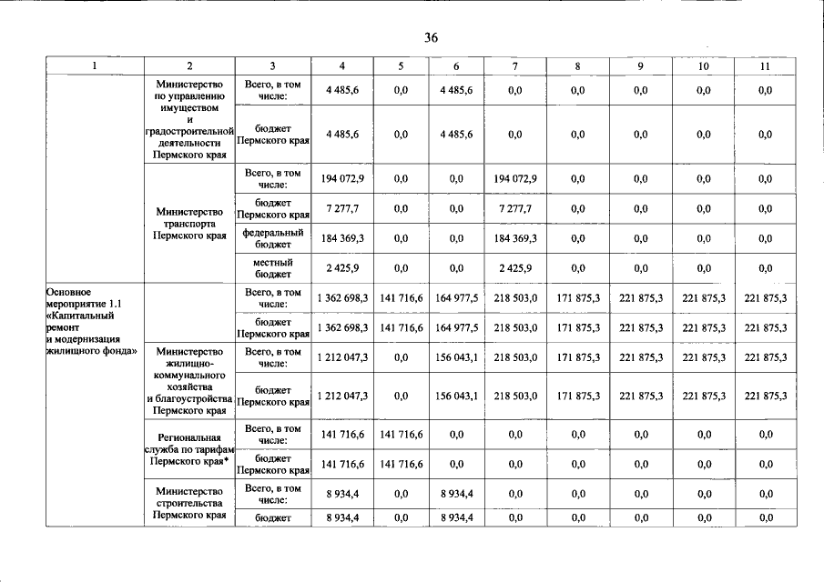
Постановление Правительства Пермского края от 30.09.2020 № 744-п
"О внесении изменения в государственную программу Пермского края "Градостроительная и жилищная политика, создание условий для комфортной городской среды", утвержденную постановлением Правительства Пермского края от 03 октября 2013 г. № 1331-п"
Номер опубликования: 5900202010070004
Дата опубликования: 07.10.2020
Страница №38 из 152:
Увеличить