Официальное опубликование правовых актов
ОФИЦИАЛЬНОЕ ОПУБЛИКОВАНИЕ
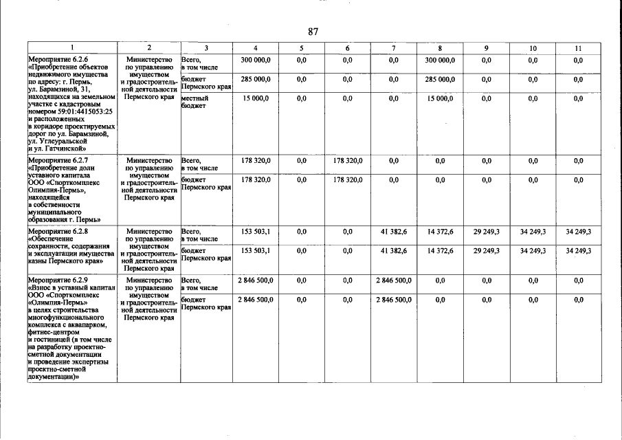
Постановление Правительства Пермского края от 30.09.2020 № 739-п
"О внесении изменений в постановление Правительства Пермского края от 03 октября 2013 г. № 1325-п "Об утверждении государственной программы Пермского края "Экономическая политика и инновационное развитие"
Номер опубликования: 5900202010020002
Дата опубликования: 02.10.2020
Страница №89 из 108:
Увеличить