Официальное опубликование правовых актов
ОФИЦИАЛЬНОЕ ОПУБЛИКОВАНИЕ
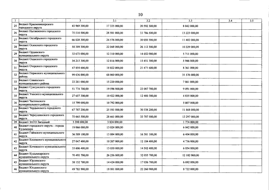
Постановление Правительства Пермского края от 23.04.2020 № 259-п
"Об утверждении распределения субсидии бюджету Пермского городского округа на строительство (реконструкцию), капитальный ремонт и ремонт трамвайных путей, контактно-кабельной сети городского наземного электрического транспорта (в том числе в рамках строительства (реконструкции), капитального ремонта и ремонта автомобильных дорог общего пользования местного значения) и обновление подвижного состава г. Перми на 2020 год и об утверждении распределения субсидий бюджетам муниципальных образований Пермского края на проектирование и строительство (реконструкцию), капитальный ремонт и ремонт автомобильных дорог общего пользования местного значения, находящихся на территории Пермского края, в 2020 – 2023 годах"
Номер опубликования: 5900202004240003
Дата опубликования: 24.04.2020
Страница №12 из 17:
Увеличить