Официальное опубликование правовых актов
ОФИЦИАЛЬНОЕ ОПУБЛИКОВАНИЕ
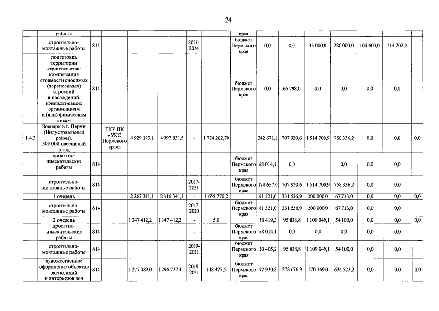
Постановление Правительства Пермского края от 26.12.2019 № 999-п
"О внесении изменений в постановление Правительства Пермского края от 26 сентября 2019 г. № 666-п "Об утверждении Адресной инвестиционной программы Пермского края" и о признании утратившими силу отдельных постановлений Правительства Пермского края"
Номер опубликования: 5900201912270042
Дата опубликования: 27.12.2019
Страница №25 из 40:
Увеличить