Официальное опубликование правовых актов
ОФИЦИАЛЬНОЕ ОПУБЛИКОВАНИЕ
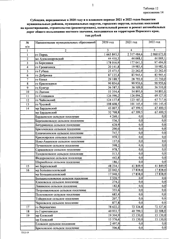
Закон Пермского края от 28.11.2019 № 476-ПК
"О бюджете Пермского края на 2020 год и на плановый период 2021 и 2022 годов"
Номер опубликования: 5900201912030002
Дата опубликования: 03.12.2019
Страница №261 из 300:
Увеличить