Официальное опубликование правовых актов
ОФИЦИАЛЬНОЕ ОПУБЛИКОВАНИЕ
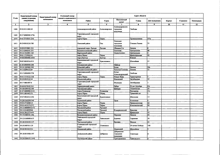
Постановление Правительства Пермского края от 28.11.2019 № 874-п
"Об определении на 2020 год перечня объектов недвижимого имущества, в отношении которых налоговая база определяется как их кадастровая стоимость"
Номер опубликования: 5900201912020009
Дата опубликования: 02.12.2019
Страница №42 из 285:
Увеличить