Официальное опубликование правовых актов
ОФИЦИАЛЬНОЕ ОПУБЛИКОВАНИЕ
Постановление Правительства Пермского края от 28.11.2019 № 870-п
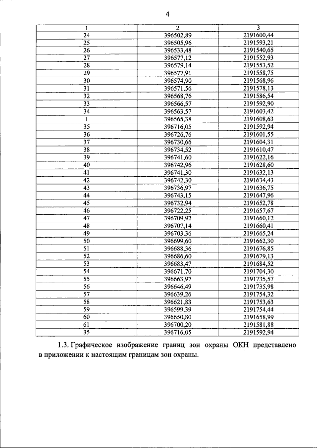
"Об утверждении границ зон охраны объекта культурного наследия регионального значения – ансамбля "Больница земская", расположенного по адресу: Пермский край, Бардымский муниципальный район, с. Барда, ул. Ленина, 21, а также режимов использования земель, земельных участков и требований к градостроительным регламентам в границах данных зон"
Номер опубликования: 5900201911290002
Дата опубликования: 29.11.2019
Страница №6 из 9:
Увеличить