Официальное опубликование правовых актов
ОФИЦИАЛЬНОЕ ОПУБЛИКОВАНИЕ
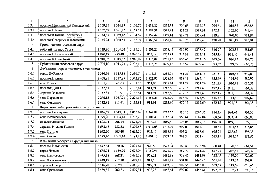
Постановление Правительства Пермского края от 10.10.2019 № 709-п
"Об утверждении региональных стандартов стоимости жилищно-коммунальных услуг на 2019 год и первое полугодие 2020 года"
Номер опубликования: 5900201910150010
Дата опубликования: 15.10.2019
Страница №90 из 156:
Увеличить