Официальное опубликование правовых актов
ОФИЦИАЛЬНОЕ ОПУБЛИКОВАНИЕ
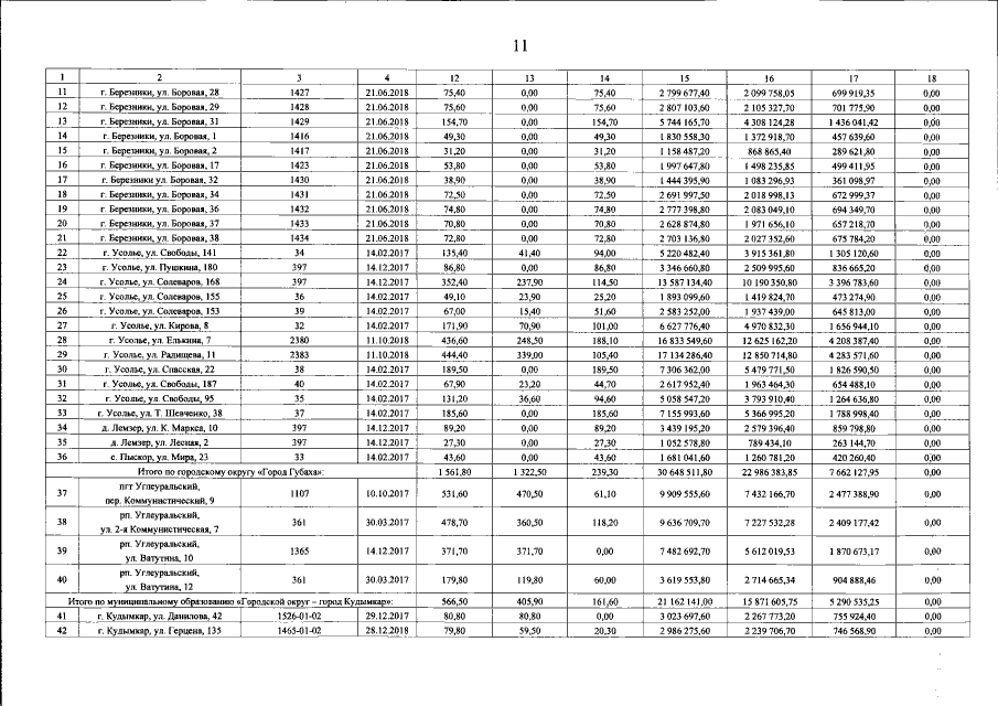
Постановление Правительства Пермского края от 25.07.2019 № 512-п
"О внесении изменений в региональную адресную программу по расселению аварийного жилищного фонда на территории Пермского края на 2019 – 2021 годы, утвержденную постановлением Правительства Пермского края от 24 апреля 2018 г. № 217-п"
Номер опубликования: 5900201907260001
Дата опубликования: 26.07.2019
Страница №12 из 19:
Увеличить