Официальное опубликование правовых актов
ОФИЦИАЛЬНОЕ ОПУБЛИКОВАНИЕ
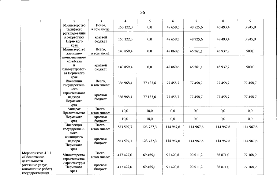
Постановление Правительства Пермского края от 30.05.2019 № 372-п
"О внесении изменений в государственную программу Пермского края "Градостроительная и жилищная политика, создание условий для комфортной городской среды", утвержденную постановлением Правительства Пермского края от 03 октября 2013 г. № 1331-п"
Номер опубликования: 5900201906040001
Дата опубликования: 04.06.2019
Страница №38 из 43:
Увеличить