Официальное опубликование правовых актов
ОФИЦИАЛЬНОЕ ОПУБЛИКОВАНИЕ
Постановление Правительства Пермского края от 24.04.2019 № 295-п
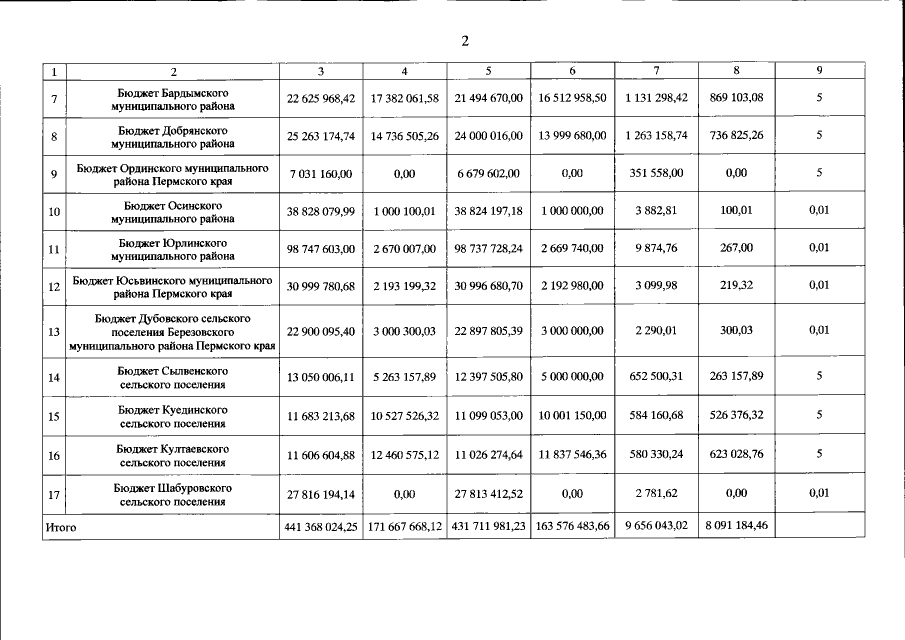
"Об утверждении распределения субсидий из бюджета Пермского края бюджетам муниципальных образований Пермского края на проведение проектных работ и строительство распределительных газопроводов на территории муниципальных образований Пермского края на 2019 – 2020 годы"
Номер опубликования: 5900201904290001
Дата опубликования: 29.04.2019
Страница №3 из 3:
Увеличить