Официальное опубликование правовых актов
ОФИЦИАЛЬНОЕ ОПУБЛИКОВАНИЕ
Постановление Правительства Пермского края от 24.04.2019 № 309-п
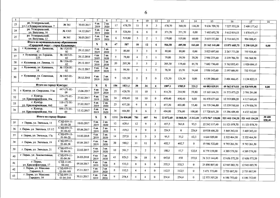
"О внесении изменений в постановление Правительства Пермского края от 24 апреля 2018 г. № 217-п "Об утверждении Региональной адресной программы по расселению аварийного жилищного фонда на территории Пермского края на 2018 – 2020 годы"
Номер опубликования: 5900201904250013
Дата опубликования: 25.04.2019
Страница №7 из 10:
Увеличить