Официальное опубликование правовых актов
ОФИЦИАЛЬНОЕ ОПУБЛИКОВАНИЕ
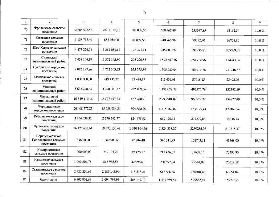
Постановление Правительства Пермского края от 07.03.2019 № 156-п
"Об утверждении распределения субсидий из бюджета Пермского края бюджетам муниципальных образований Пермского края на поддержку муниципальных программ формирования современной городской среды, в том числе в рамках федерального проекта "Формирование комфортной городской среды", в 2019 году"
Номер опубликования: 5900201903120001
Дата опубликования: 12.03.2019
Страница №7 из 8:
Увеличить