Официальное опубликование правовых актов
ОФИЦИАЛЬНОЕ ОПУБЛИКОВАНИЕ
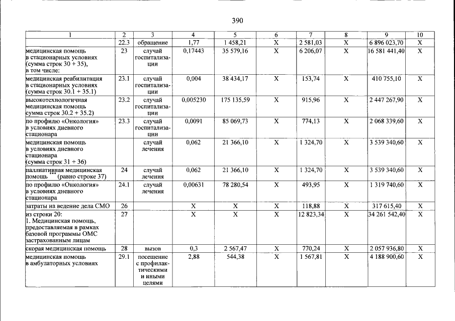
Постановление Правительства Пермского края от 02.02.2019 № 48-п
"Об утверждении Территориальной программы государственных гарантий бесплатного оказания гражданам медицинской помощи на 2019 год и на плановый период 2020 и 2021 годов"
Номер опубликования: 5900201902040002
Дата опубликования: 04.02.2019
Страница №391 из 406:
Увеличить