Официальное опубликование правовых актов
ОФИЦИАЛЬНОЕ ОПУБЛИКОВАНИЕ
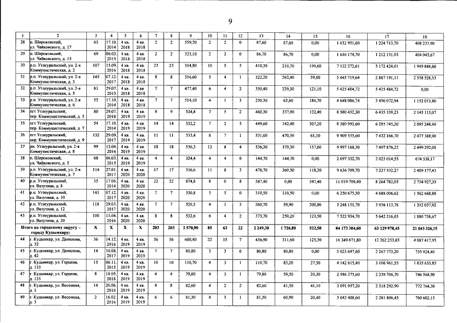
Постановление Правительства Пермского края от 06.12.2018 № 772-п
"О внесении изменения в региональную адресную программу по расселению аварийного жилищного фонда на территории Пермского края на 2018 – 2020 годы, утвержденную постановлением Правительства Пермского края от 24 апреля 2018 г. № 217-п"
Номер опубликования: 5900201812100012
Дата опубликования: 10.12.2018
Страница №10 из 23:
Увеличить