Официальное опубликование правовых актов
ОФИЦИАЛЬНОЕ ОПУБЛИКОВАНИЕ
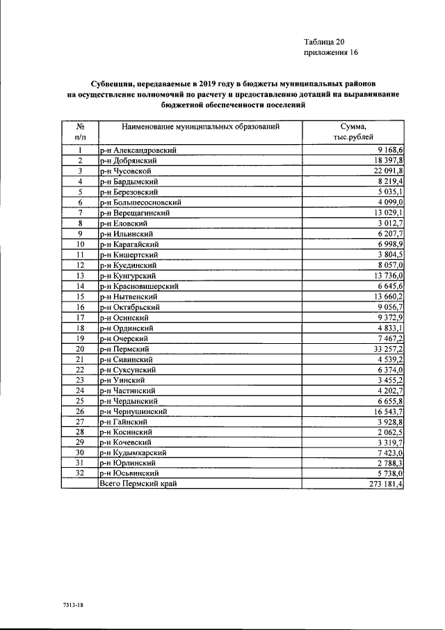
Закон Пермского края от 29.11.2018 № 303-ПК
"О бюджете Пермского края на 2019 год и на плановый период 2020 и 2021 годов"
Номер опубликования: 5900201811290023
Дата опубликования: 29.11.2018
Страница №407 из 501:
Увеличить