Официальное опубликование правовых актов
ОФИЦИАЛЬНОЕ ОПУБЛИКОВАНИЕ
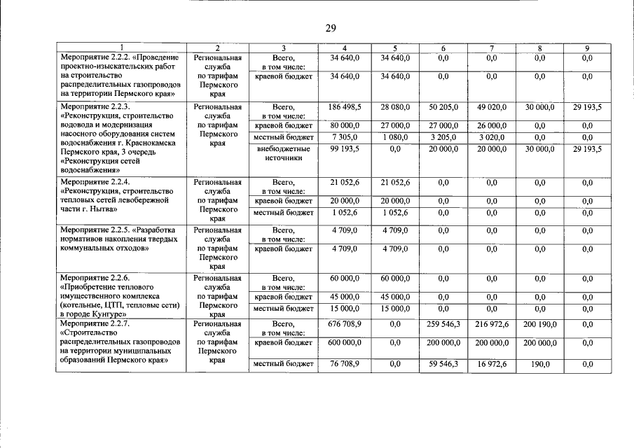
Постановление Правительства Пермского края от 28.09.2018 № 544-п
"О внесении изменения в государственную программу Пермского края "Градостроительная и жилищная политика, создание условий для комфортной городской среды", утвержденную постановлением Правительства Пермского края от 03 октября 2013 г. № 1331-п"
Номер опубликования: 5900201810020011
Дата опубликования: 02.10.2018
Страница №31 из 37:
Увеличить