Официальное опубликование правовых актов
ОФИЦИАЛЬНОЕ ОПУБЛИКОВАНИЕ
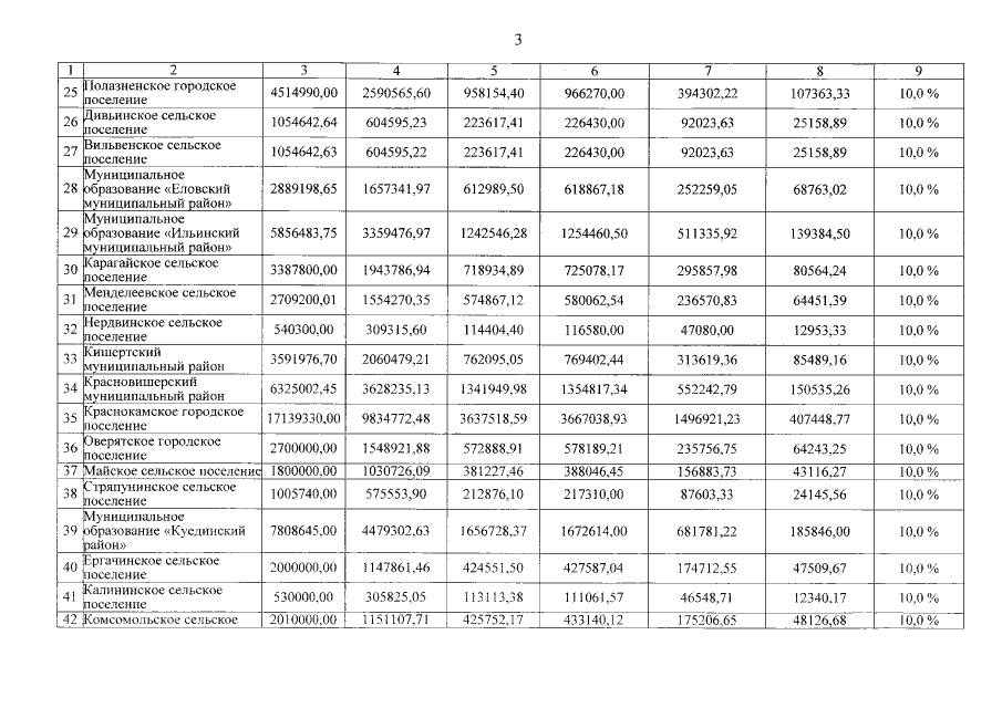
Постановление Правительства Пермского края от 27.03.2018 № 167-п
"Об утверждении распределения субсидий из бюджета Пермского края бюджетам муниципальных образований Пермского края на поддержку муниципальных программ формирования современной городской среды в 2018 году"
Номер опубликования: 5900201803300008
Дата опубликования: 30.03.2018
Страница №4 из 8:
Увеличить