Официальное опубликование правовых актов
ОФИЦИАЛЬНОЕ ОПУБЛИКОВАНИЕ
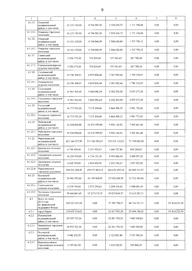
Постановление Правительства Пермского края от 19.10.2017 № 871-п
"О внесении изменений в региональную адресную Программу по переселению граждан из аварийного жилищного фонда на территории Пермского края на 2013-2017 годы, утвержденную постановлением Правительства Пермского края от 29 мая 2013 г. № 579-п "Об утверждении региональной адресной Программы по переселению граждан из аварийного жилищного фонда на территории Пермского края на 2013-2017 годы, объемов расходов по приоритетному региональному проекту "Достойное жилье" на 2013 год"
Номер опубликования: 5900201710240021
Дата опубликования: 24.10.2017
Страница №10 из 153:
Увеличить