Официальное опубликование правовых актов
ОФИЦИАЛЬНОЕ ОПУБЛИКОВАНИЕ
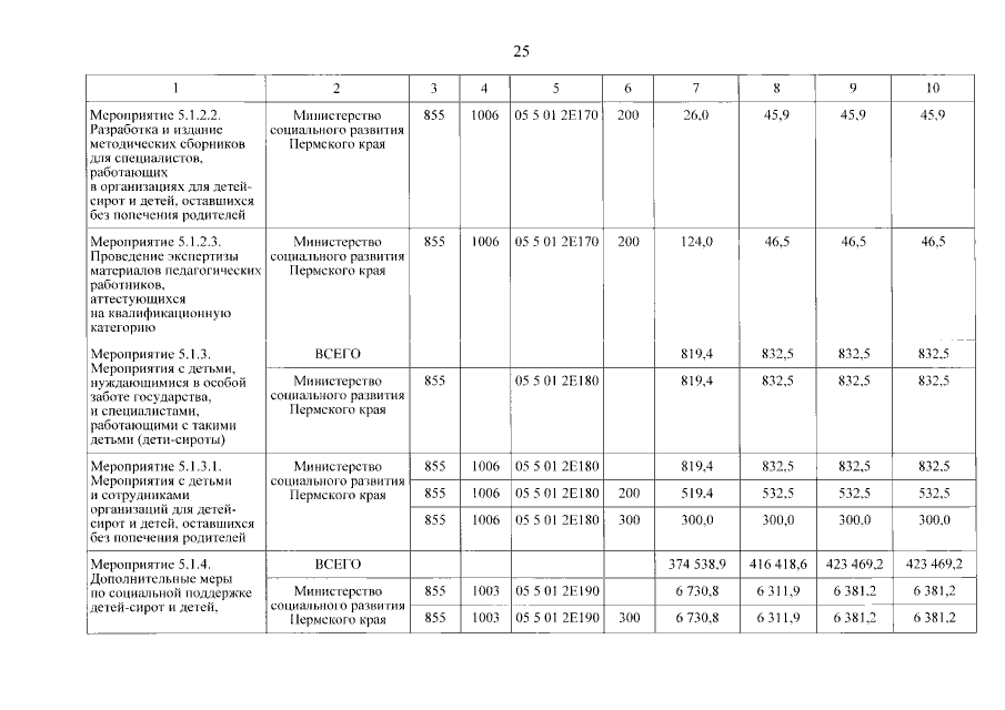
Постановление Правительства Пермского края от 07.06.2017 № 456-п
"О внесении изменений в государственную программу "Семья и дети Пермского края", утвержденную постановлением Правительства Пермского края от 03 октября 2013 г. № 1322-п"
Номер опубликования: 5900201706140009
Дата опубликования: 14.06.2017
Страница №26 из 54:
Увеличить