Официальное опубликование правовых актов
ОФИЦИАЛЬНОЕ ОПУБЛИКОВАНИЕ
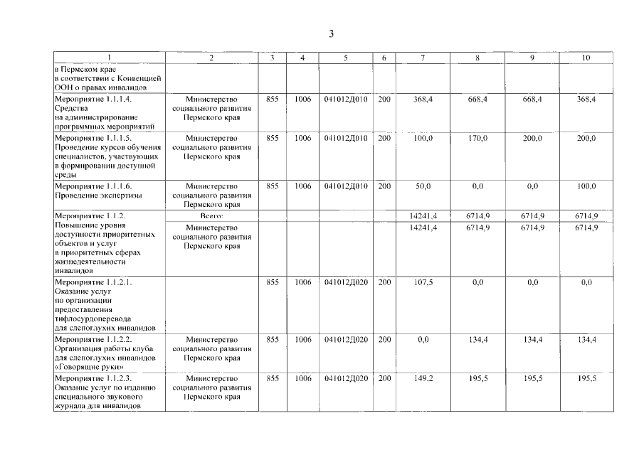
Постановление Правительства Пермского края от 17.05.2017 № 355-п
"О внесении изменений в постановление Правительства Пермского края от 03 октября 2013 г. № 1316-п "Об утверждении государственной программы "Доступная среда. Реабилитация и создание условий для социальной интеграции инвалидов Пермского края"
Номер опубликования: 5900201705220023
Дата опубликования: 22.05.2017
Страница №68 из 105:
Увеличить