Официальное опубликование правовых актов
ОФИЦИАЛЬНОЕ ОПУБЛИКОВАНИЕ
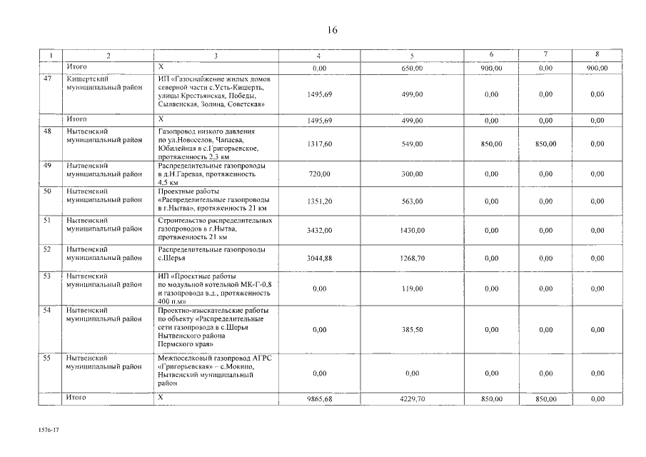
Закон Пермского края от 04.04.2017 № 83-ПК
"Об утверждении отчета об исполнении краевой целевой программы "Газификация Пермского края на 2008-2010 годы"
Номер опубликования: 5900201704070003
Дата опубликования: 07.04.2017
Страница №17 из 44:
Увеличить