Официальное опубликование правовых актов
ОФИЦИАЛЬНОЕ ОПУБЛИКОВАНИЕ
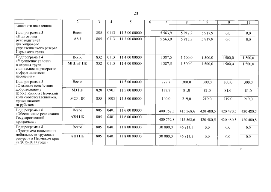
Постановление Правительства Пермского края от 01.03.2017 № 72-п
"О внесении изменений в государственную программу Пермского края "Содействие занятости населения", утвержденную постановлением Правительства Пермского края от 03 октября 2013 г. № 1315-п"
Номер опубликования: 5900201703030003
Дата опубликования: 03.03.2017
Страница №24 из 24:
Увеличить