Официальное опубликование правовых актов
ОФИЦИАЛЬНОЕ ОПУБЛИКОВАНИЕ
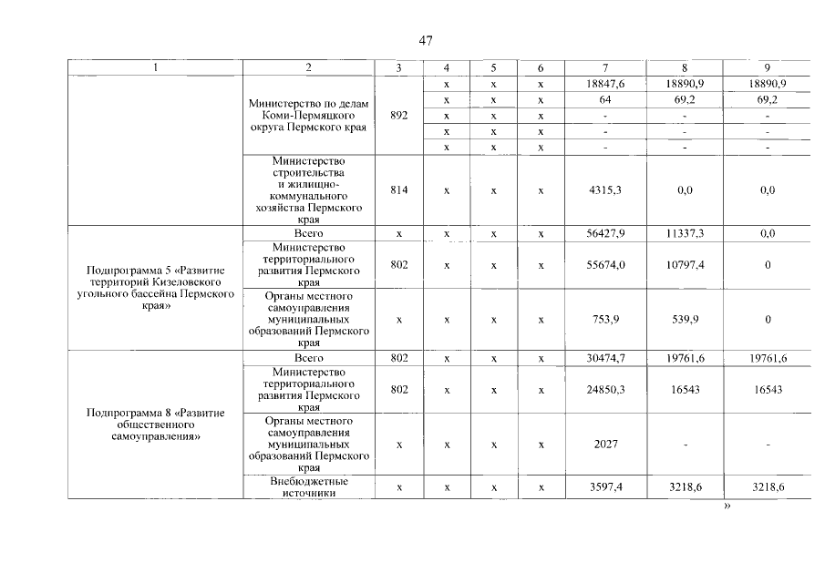
Постановление Правительства Пермского края от 11.11.2016 № 1022-п
"О внесении изменений в государственную программу Пермского края "Региональная политика и развитие территорий", утвержденную постановлением Правительства Пермского края от 01 октября 2013 г. № 1305-п"
Номер опубликования: 5900201611170011
Дата опубликования: 17.11.2016
Страница №48 из 64:
Увеличить