Официальное опубликование правовых актов
ОФИЦИАЛЬНОЕ ОПУБЛИКОВАНИЕ
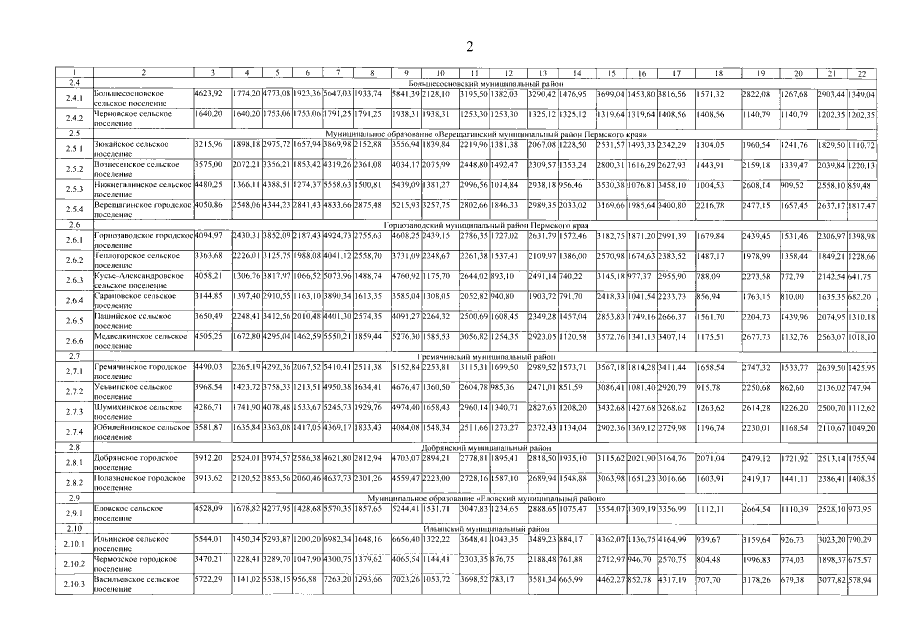
Постановление Правительства Пермского края от 24.05.2016 № 317-п
"Об утверждении региональных стандартов стоимости жилищно-коммунальных услуг на 2016 год"
Номер опубликования: 5900201605260001
Дата опубликования: 26.05.2016
Страница №11 из 41:
Увеличить