Официальное опубликование правовых актов
ОФИЦИАЛЬНОЕ ОПУБЛИКОВАНИЕ
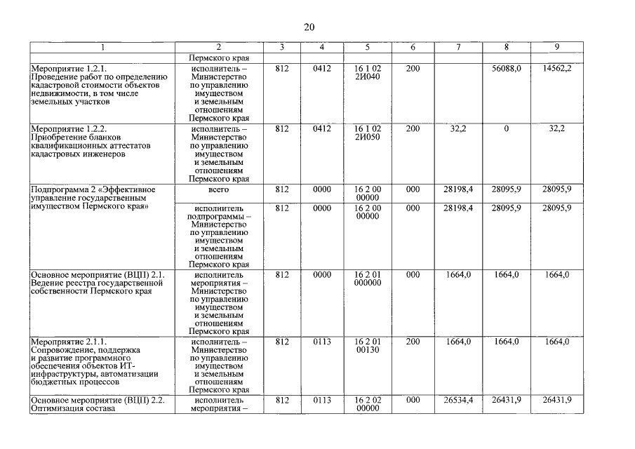
Постановление Правительства Пермского края от 27.04.2016 № 250-п
"О внесении изменений в государственную программу Пермского края "Управление земельными ресурсами и имуществом Пермского края", утвержденную постановлением Правительства Пермского края от 03 октября 2013 г. № 1314-п"
Номер опубликования: 5900201604280004
Дата опубликования: 28.04.2016
Страница №21 из 24:
Увеличить