Официальное опубликование правовых актов
ОФИЦИАЛЬНОЕ ОПУБЛИКОВАНИЕ
Постановление Правительства Пермского края от 08.02.2016 № 51-п
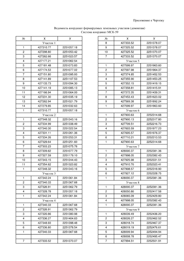
"Об утверждении проекта планировки территории и проекта межевания территории, предусматривающих размещение объекта "Строительство низконапорного водовода ПНС-1001 – ВРП-1034" Кокуйского месторождения (на участке от ПНС-1001 до точки подключения водовода на КНС-1003)"
Номер опубликования: 5900201602100003
Дата опубликования: 10.02.2016
Страница №65 из 69:
Увеличить