Официальное опубликование правовых актов
ОФИЦИАЛЬНОЕ ОПУБЛИКОВАНИЕ
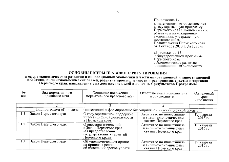
Постановление Правительства Пермского края от 19.03.2015 № 145-п
"О внесении изменений в государственную программу Пермского края "Экономическое развитие и инновационная экономика", утвержденную постановлением Правительства Пермского края от 3 октября 2013 г. № 1325-п"
Номер опубликования: 5900201503230007
Дата опубликования: 23.03.2015
Страница №78 из 82:
Увеличить