Официальное опубликование правовых актов
ОФИЦИАЛЬНОЕ ОПУБЛИКОВАНИЕ
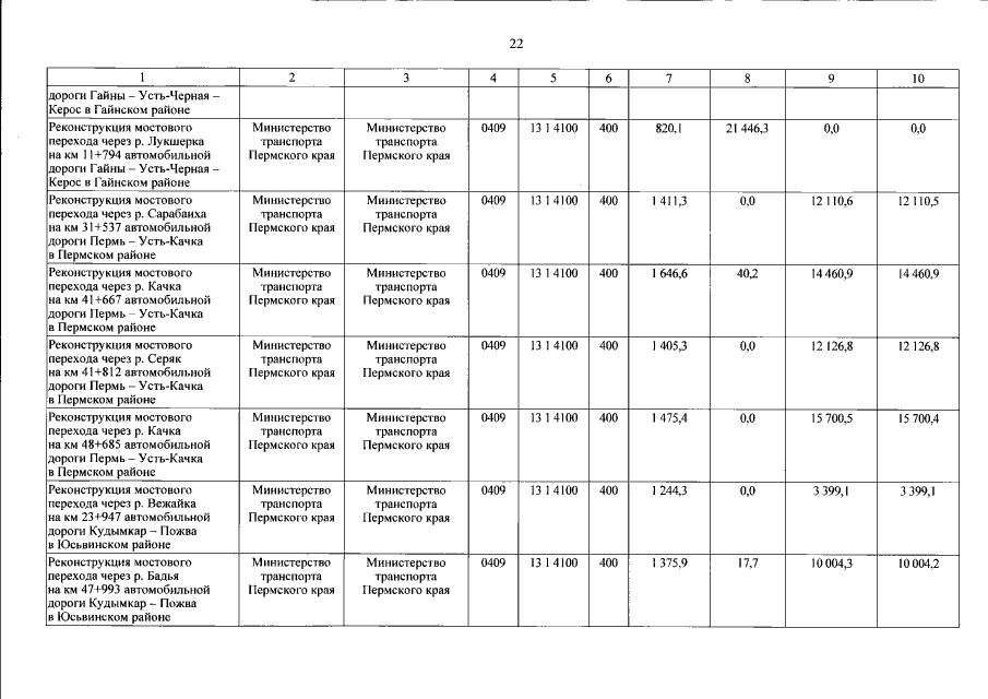
Постановление Правительства Пермского края от 27.02.2015 № 101-п
"О внесении изменений в государственную программу Пермского края "Развитие транспортной системы", утвержденную постановлением Правительства Пермского края от 3 октября 2013 г. № 1323-п"
Номер опубликования: 5900201503020001
Дата опубликования: 02.03.2015
Страница №23 из 48:
Увеличить