Официальное опубликование правовых актов
ОФИЦИАЛЬНОЕ ОПУБЛИКОВАНИЕ
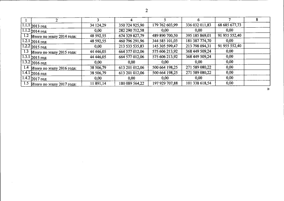
Постановление Правительства Пермского края от 25.02.2015 № 99-п
"О внесении изменений в план мероприятий ("дорожную карту") по переселению граждан из жилищного фонда, признанного в установленном порядке до 1 января 2012 года аварийным и подлежащим сносу или реконструкции в связи с физическим износом в процессе эксплуатации, на 2013-2017 годы, утвержденный постановлением Правительства Пермского края от 11 июня 2013 г. № 669-п"
Номер опубликования: 5900201502260003
Дата опубликования: 26.02.2015
Страница №7 из 7:
Увеличить