Приказ Министерства градостроительства и архитектуры Пензенской области от 27.02.2026 № 23-129
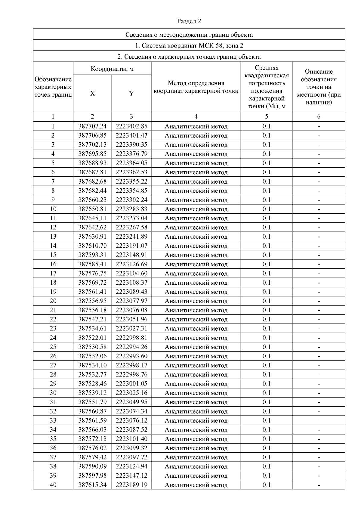
"Об утверждении границ охранной зоны существующего газопровода низкого давления, протяженностью 472 м, расположенного по адресу: Российская Федерация, Пензенская область, г. Пенза, ул. Гвоздева, и наложении ограничений (обременений) на входящие в нее земельные участки"
(Зарегистрирован 27.02.2026 № 23-129)
"Об утверждении границ охранной зоны существующего газопровода низкого давления, протяженностью 472 м, расположенного по адресу: Российская Федерация, Пензенская область, г. Пенза, ул. Гвоздева, и наложении ограничений (обременений) на входящие в нее земельные участки"
(Зарегистрирован 27.02.2026 № 23-129)
Номер опубликования: 5801202603020045
Дата опубликования:
02.03.2026
