Официальное опубликование правовых актов
ОФИЦИАЛЬНОЕ ОПУБЛИКОВАНИЕ
Приказ Министерства лесного, охотничьего хозяйства и природопользования Пензенской области от 27.02.2026 № 15-39
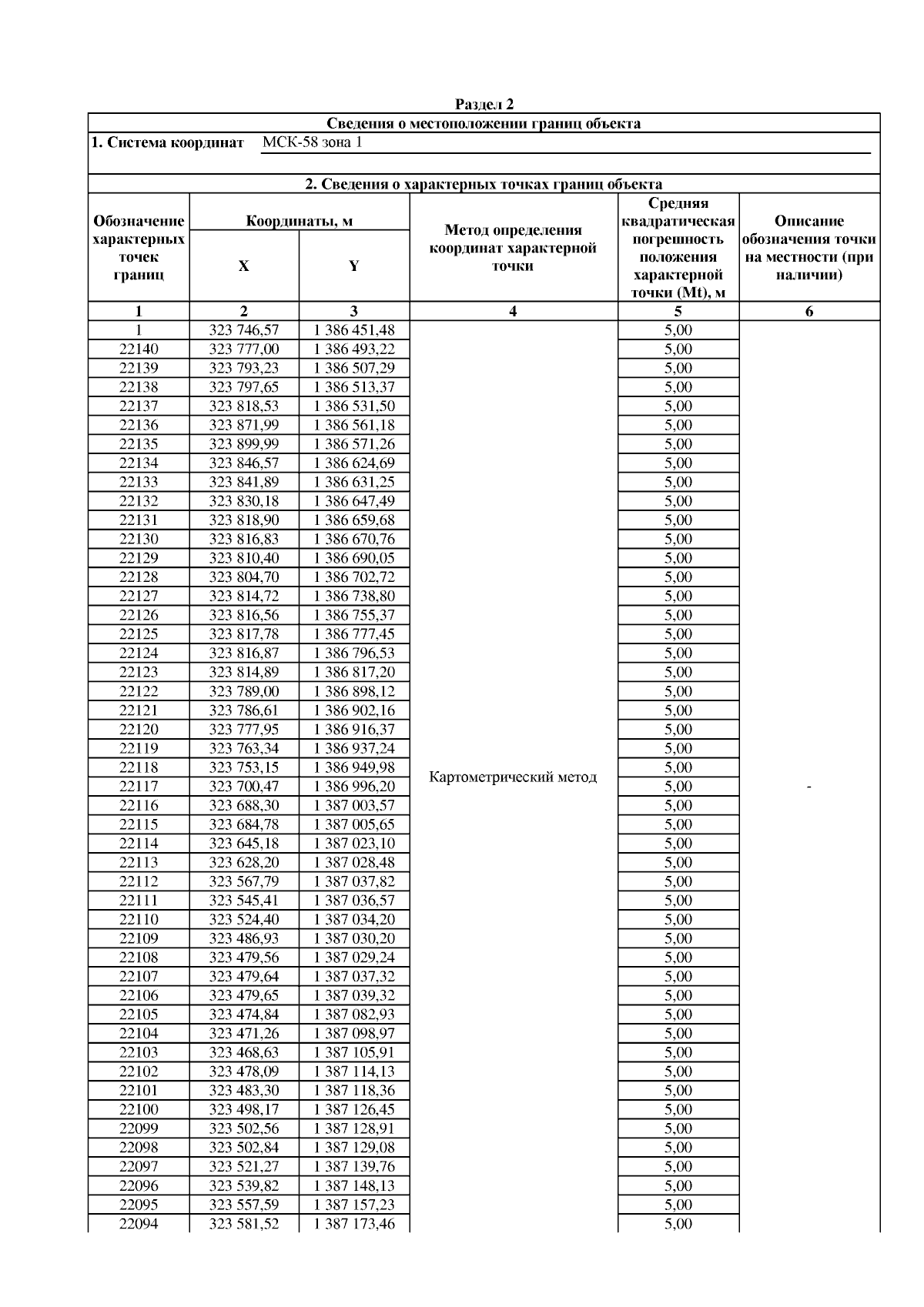
"О внесении изменения в приказ Министерства лесного, охотничьего хозяйства и природопользования Пензенской области от 19.01.2021 № 6/2 "Об установлении местоположения береговой линии (границы водного объекта), границ водоохранных зон и границ прибрежных защитных полос р. Колышлей от истока до впадения в р. Хопер на территории Пензенской области"
(Зарегистрирован 27.02.2026 № 15-39)
Номер опубликования: 5801202603020019
Дата опубликования: 02.03.2026
Страница №59 из 1006:
Увеличить