Официальное опубликование правовых актов
ОФИЦИАЛЬНОЕ ОПУБЛИКОВАНИЕ
Приказ Министерства лесного, охотничьего хозяйства и природопользования Пензенской области от 27.02.2026 № 15-35
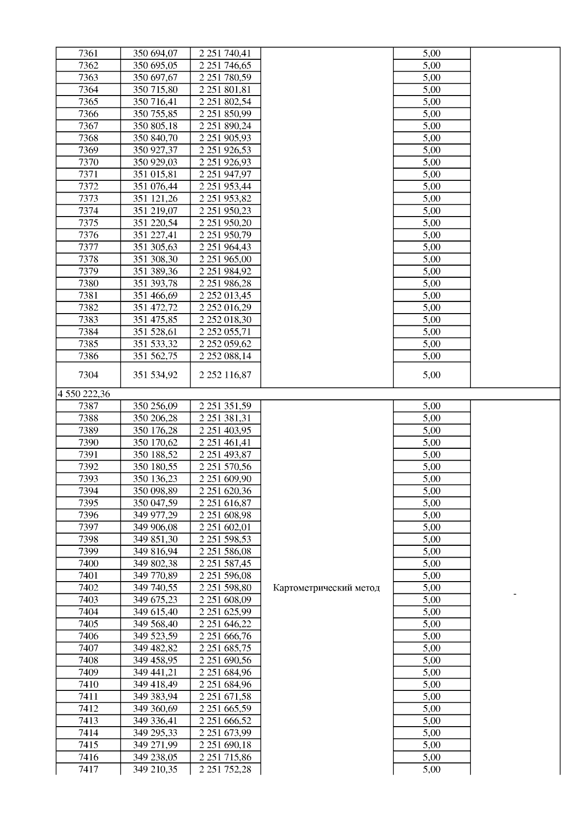
"О внесении изменения в приказ Министерства лесного, охотничьего хозяйства и природопользования Пензенской области от 27.01.2021 № 9/4 "Об установлении местоположения береговой линии (границы водного объекта), границ водоохранных зон и границ прибрежных защитных полос р. Уза на территории Пензенской области от границы Пензенской области и Саратовской области до впадения в Пензенское водохранилище на р. Сура"
(Зарегистрирован 27.02.2026 № 15-35)
Номер опубликования: 5801202603020017
Дата опубликования: 02.03.2026
Страница №439 из 577:
Увеличить