Официальное опубликование правовых актов
ОФИЦИАЛЬНОЕ ОПУБЛИКОВАНИЕ
Приказ Министерства лесного, охотничьего хозяйства и природопользования Пензенской области от 24.02.2026 № 15-29
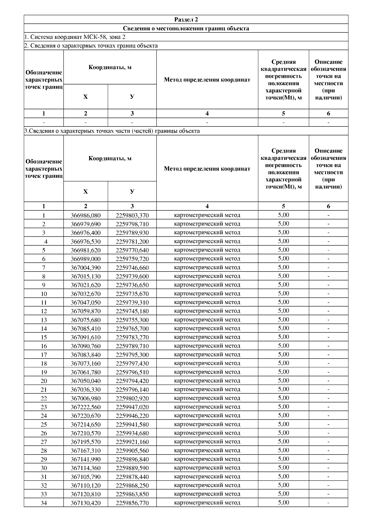
"О внесении изменения в приказ Министерства лесного, охотничьего хозяйства и природопользования Пензенской области от 24.07.2024 № 15-66 "Об установлении местоположения береговой линии (границы водного объекта), границы водоохранной зоны и границы прибрежной защитной полосы Пензенского водохранилища на реке Сура"
(Зарегистрирован 24.02.2026 № 15-29)
Номер опубликования: 5801202603020014
Дата опубликования: 02.03.2026
Страница №138 из 511:
Увеличить