Официальное опубликование правовых актов
ОФИЦИАЛЬНОЕ ОПУБЛИКОВАНИЕ
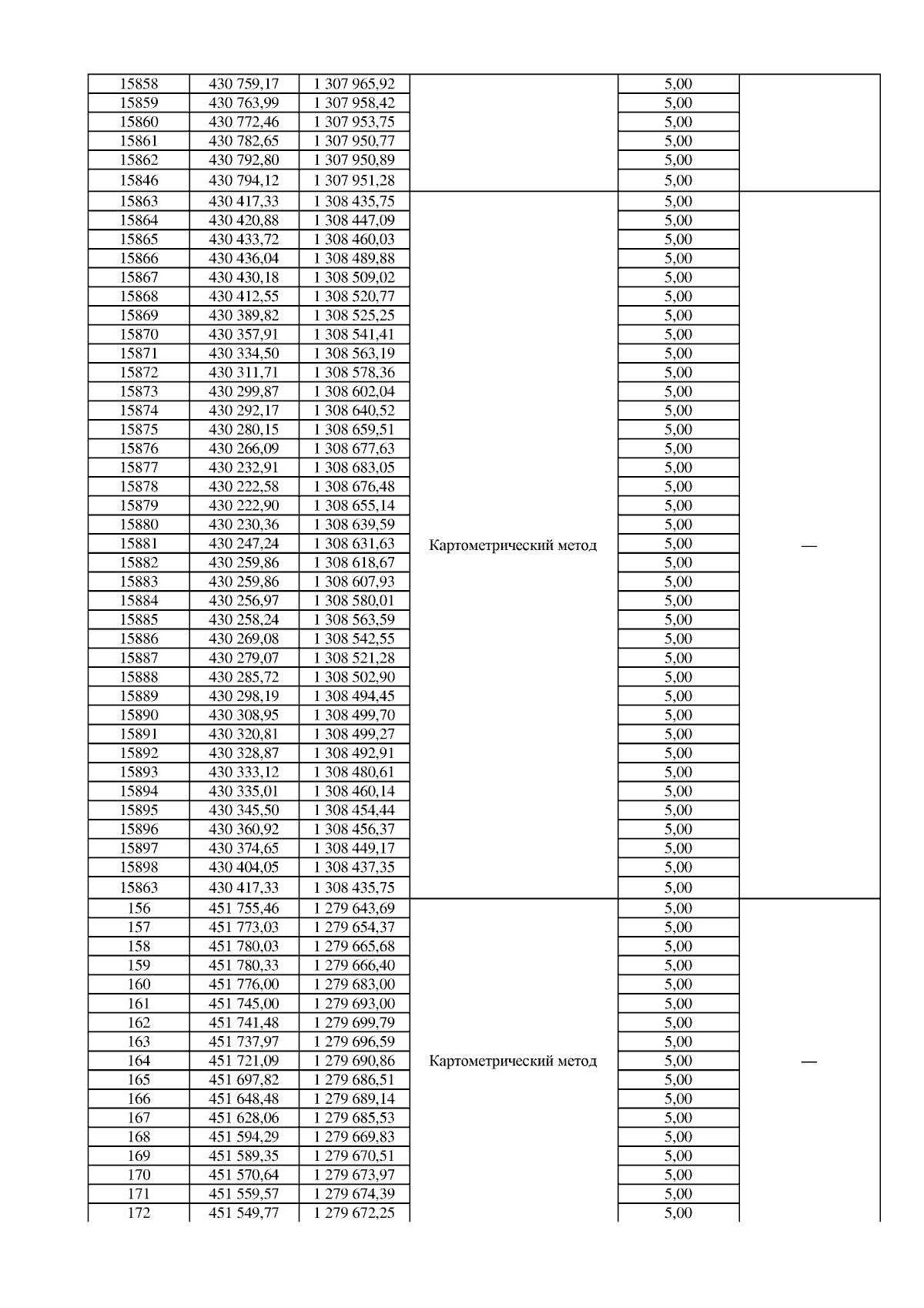
Приказ Министерства лесного, охотничьего хозяйства и природопользования Пензенской области от 24.02.2026 № 15-19
"О внесении изменения в приказ Министерства лесного, охотничьего хозяйства и природопользования Пензенской области от 02.03.2022 № 20/6 "Об установлении местоположения береговой линии (границы водного объекта), границ водоохранных зон и границ прибрежных защитных полос р. Вад на территории Пензенской области от истока до границы Пензенской области и Республики Мордовия"
(Зарегистрирован 24.02.2026 № 15-19)
Номер опубликования: 5801202603020001
Дата опубликования: 02.03.2026
Страница №561 из 567:
Увеличить