Официальное опубликование правовых актов
ОФИЦИАЛЬНОЕ ОПУБЛИКОВАНИЕ
Приказ Министерства градостроительства и архитектуры Пензенской области от 12.02.2026 № 23-78
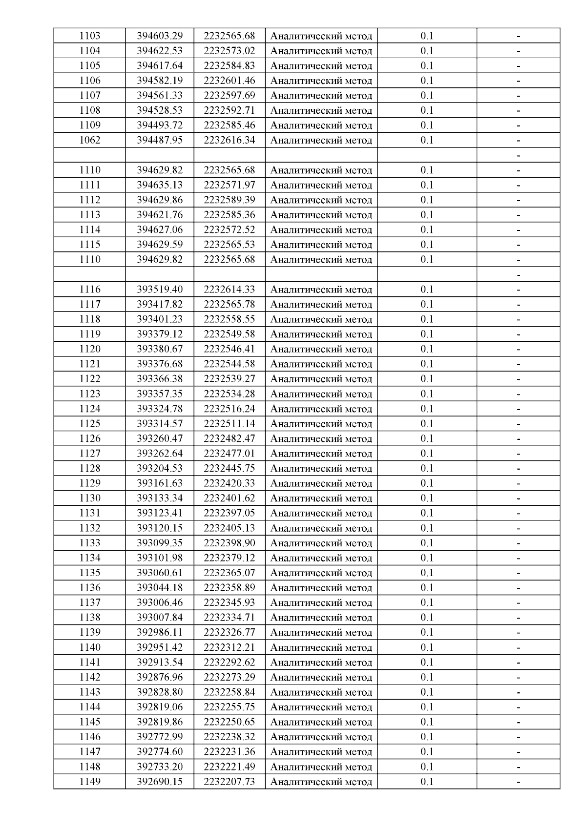
"О признании утратившим силу приказа Министерства градостроительства и архитектуры Пензенской области от 14.06.2022 № 79/ОД и об утверждении границ охранной зоны существующего внутрипоселкового газопровода, протяженностью 56901 м, расположенной по адресу: Пензенская область, Бессоновский район, с. Бессоновка, и наложении ограничений (обременений) на входящие в нее земельные участки"
(Зарегистрирован 12.02.2026 № 23-78)
Номер опубликования: 5801202602160009
Дата опубликования: 16.02.2026
Страница №28 из 83:
Увеличить