Официальное опубликование правовых актов
ОФИЦИАЛЬНОЕ ОПУБЛИКОВАНИЕ
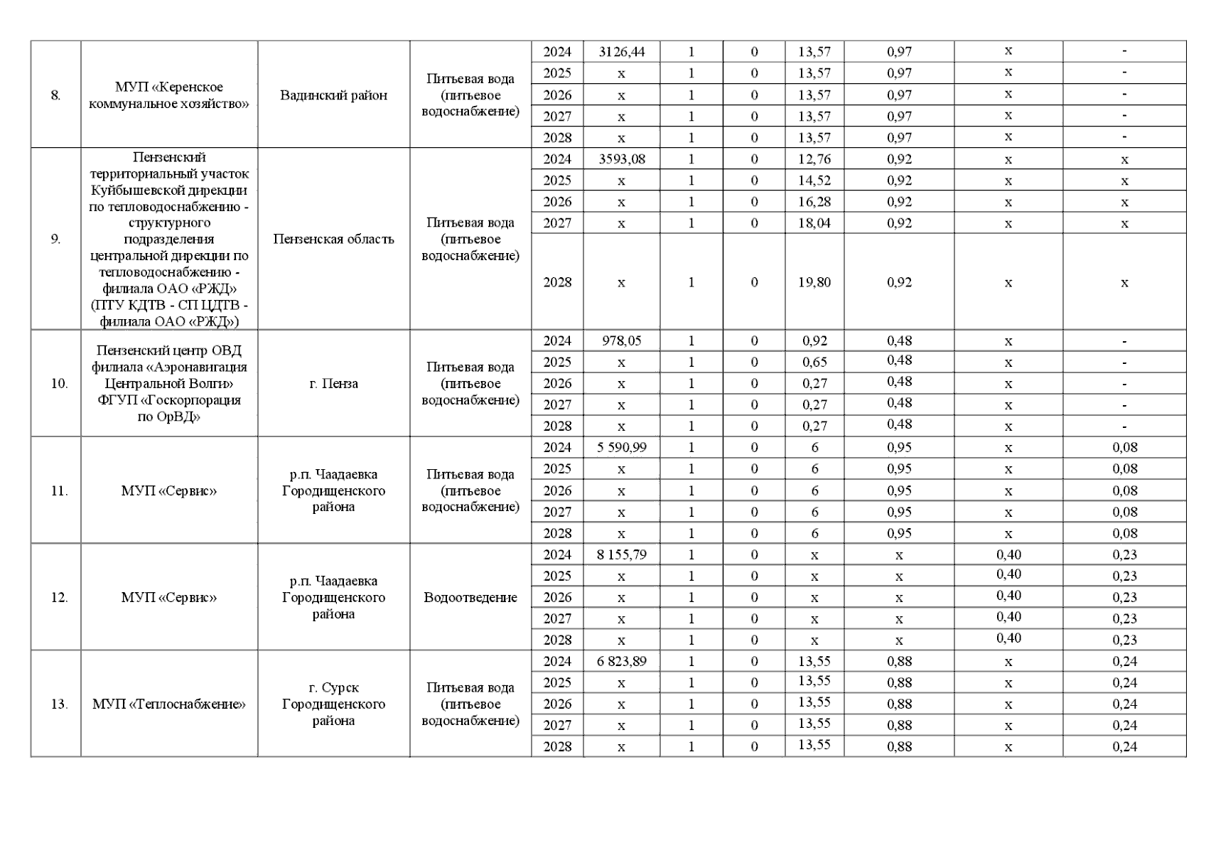
Приказ Министерства жилищно-коммунального хозяйства и гражданской защиты населения Пензенской области от 19.12.2025 № 26-144/ОД
"О внесении изменений в приказ Министерства жилищно-коммунального хозяйства и гражданской защиты населения Пензенской области от 14.12.2023 № 26-126/ОД (с последующими изменениями)"
(Зарегистрирован 19.12.2025 № 26-144/ОД)
Номер опубликования: 5801202512240018
Дата опубликования: 24.12.2025
Страница №4 из 15:
Увеличить