Официальное опубликование правовых актов
ОФИЦИАЛЬНОЕ ОПУБЛИКОВАНИЕ
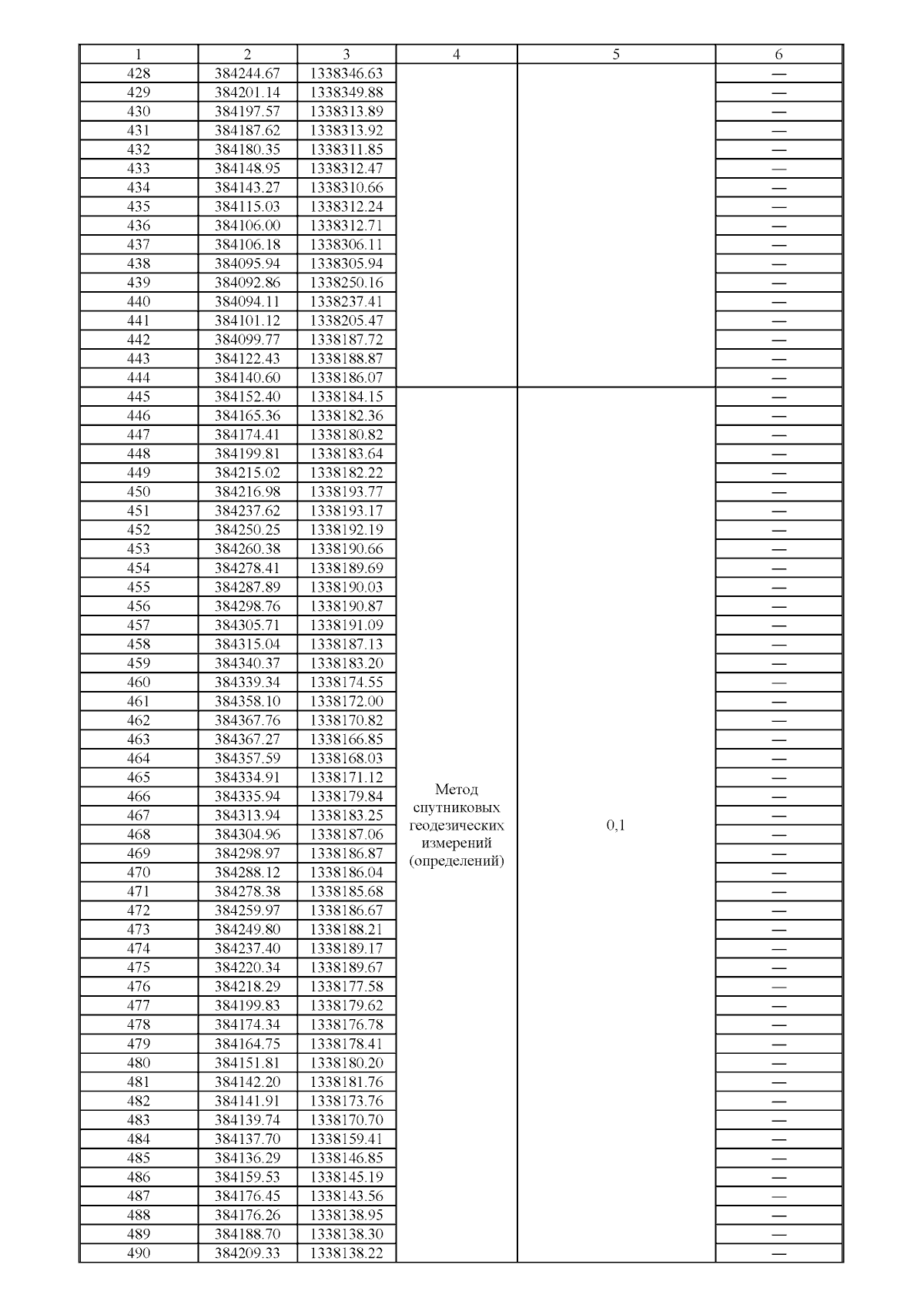
Приказ Министерства градостроительства и архитектуры Пензенской области от 16.12.2025 № 23-955
"Об утверждении границ охранной зоны существующего газопровода, протяженностью 21678 м, расположенного по адресу: Пензенская область, р-н Пачелмский, с. Решетино, и наложении ограничений (обременений) на входящие в нее земельные участки"
(Зарегистрирован 16.12.2025 № 23-955)
Номер опубликования: 5801202512210035
Дата опубликования: 21.12.2025
Страница №12 из 29:
Увеличить