Официальное опубликование правовых актов
ОФИЦИАЛЬНОЕ ОПУБЛИКОВАНИЕ
Приказ Министерства градостроительства и архитектуры Пензенской области от 13.11.2025 № 23-742
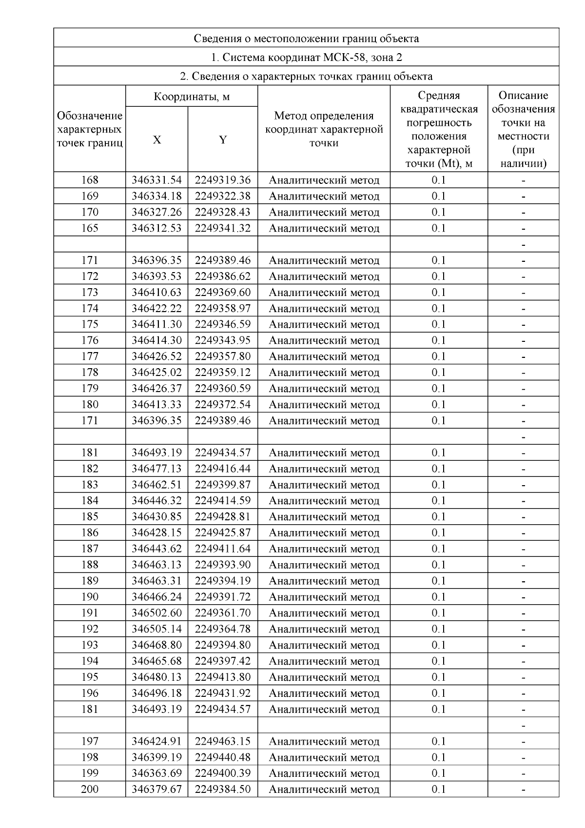
"Об утверждении границ охранной зоны существующего газопровода, протяженностью 3495 м, расположенного по адресу: Пензенская область, р-н Шемышейский, с Наумкино, и наложении ограничений (обременений) на входящие в нее земельные участки"
(Зарегистрирован 13.11.2025 № 23-742)
Номер опубликования: 5801202511140003
Дата опубликования: 14.11.2025
Страница №10 из 14:
Увеличить