Официальное опубликование правовых актов
ОФИЦИАЛЬНОЕ ОПУБЛИКОВАНИЕ
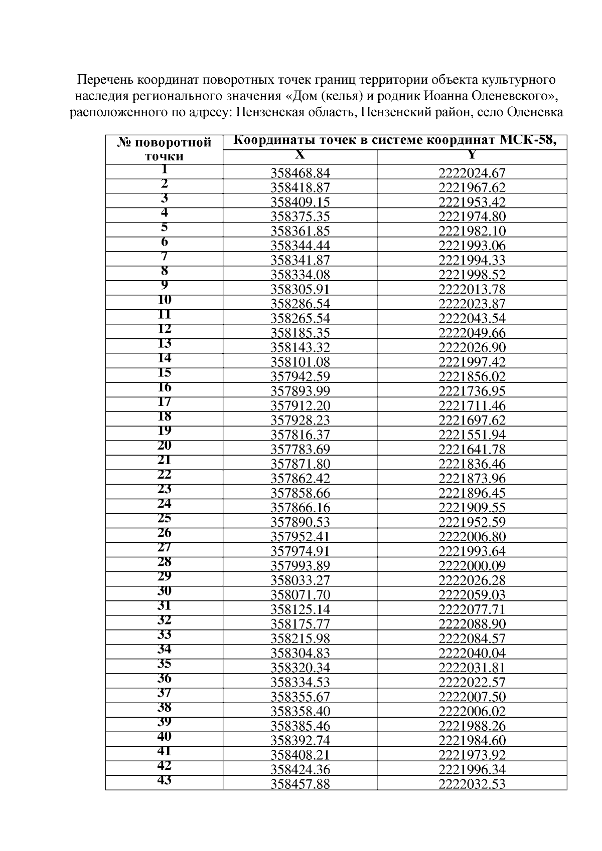
Приказ Министерства по охране памятников истории и культуры Пензенской области от 15.09.2025 № 30-74
"Об утверждении границ и режима использования территории объекта культурного наследия регионального значения "Дом (келья) и родник Иоанна Оленевского", расположенного по адресу: Пензенская область, Пензенский район, село Оленевка"
(Зарегистрирован 15.09.2025 № 30-74)
Номер опубликования: 5801202509160004
Дата опубликования: 16.09.2025
Страница №4 из 6:
Увеличить