Приказ Министерства по охране памятников истории и культуры Пензенской области от 11.09.2025 № 30-70
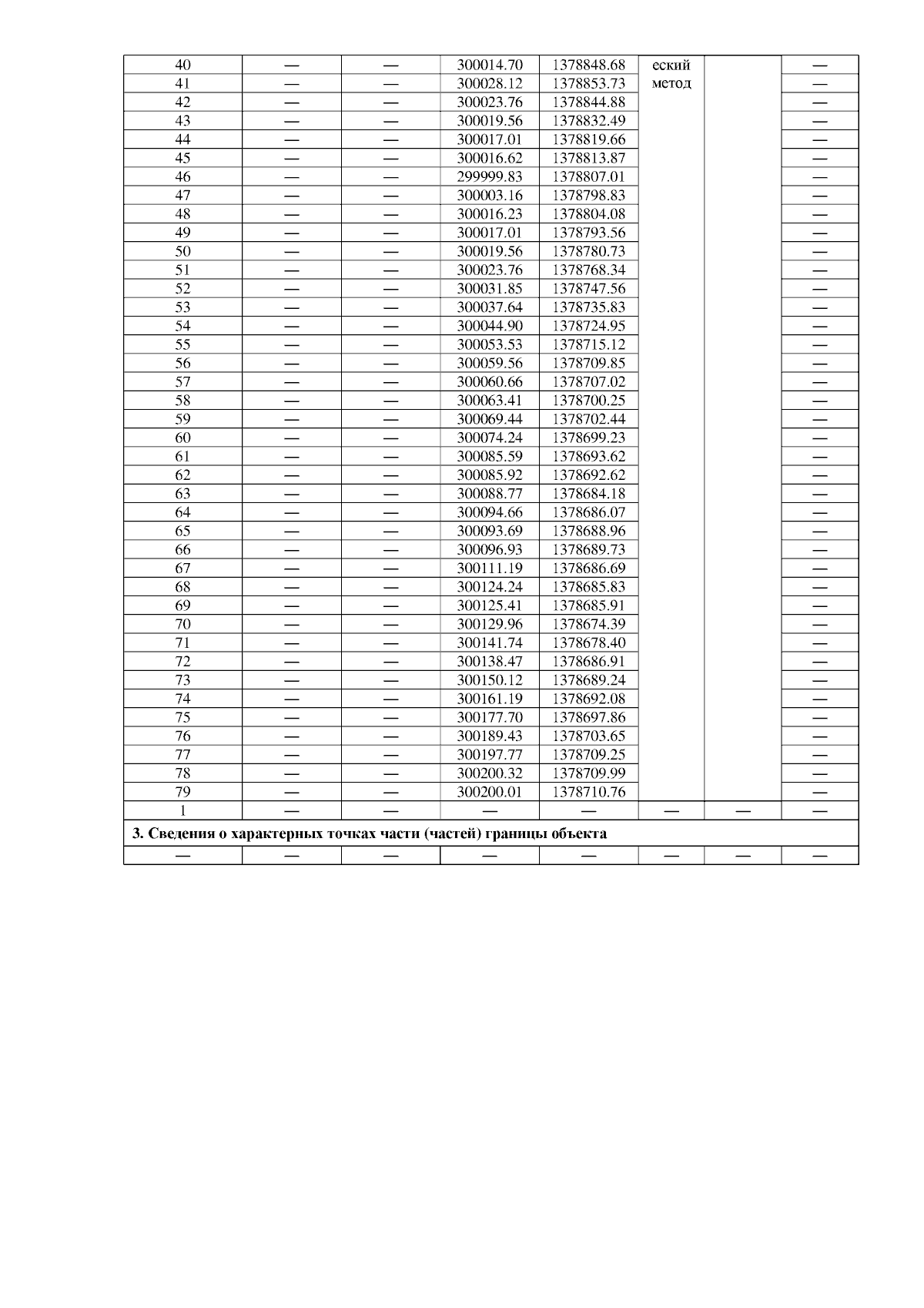
"О внесении изменения в графическое описание местоположения границ защитной зоны объекта культурного наследия регионального значения "Бывший дом Ладыженского" по адресу: Пензенская область, Сердобский район, г. Сердобск, ул. Красная, 37, утвержденное приказом Комитета Пензенской области по охране памятников истории и культуры от 26.10.2018 № 94-ОД"
(Зарегистрирован 11.09.2025 № 30-70)
"О внесении изменения в графическое описание местоположения границ защитной зоны объекта культурного наследия регионального значения "Бывший дом Ладыженского" по адресу: Пензенская область, Сердобский район, г. Сердобск, ул. Красная, 37, утвержденное приказом Комитета Пензенской области по охране памятников истории и культуры от 26.10.2018 № 94-ОД"
(Зарегистрирован 11.09.2025 № 30-70)
Номер опубликования: 5801202509120001
Дата опубликования:
12.09.2025
